会员登录 ]  [ 立即注册 ]

首 页  >>  新闻中心  >>  公司新闻  >>  驾校车型更新!退役车辆拍卖公告!(内附车辆信息详情)

驾校车型更新!退役车辆拍卖公告!(内附车辆信息详情)

号外!号外!

由于机动车驾驶人考试车型的更新,荣庆通达驾校斥巨资购入新型的教练车与之匹配,完成了教练车的更新,现对部分退役车辆进行拍卖。

现委托临沂市五佳拍卖有限公司,于11月17日对25辆桑塔纳进行公开拍卖。



拍 卖 公 告

1、拍卖时间

2016年11月17日10时

2、拍卖方式

网络拍卖(中国拍卖行业协会网络拍卖平台)

3、拍卖标的

桑塔纳车辆(25辆)

4、展示时间及地点

兰陵县荣庆二手车市场院内

5、竞买报名

1、有效身份证明

个人:身份证原件及复印件,法人:营业执照复印件、法定代表人及经办人身份证复印件、授权委托书、公章。

2、拍卖保证金1万/辆

多买多交,竞买不成者,于拍卖会后五个工作日内无息返还。

3、交纳保证金及办理竞买登记截止时间

2016年11月16日12时。

报名电话:0539-8050505

看车电话:18669516822、13370660022


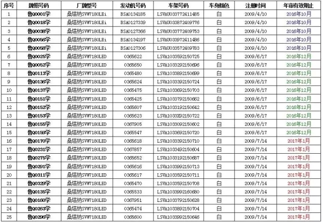
车 辆 明 细


参考价:5000元/辆


实 拍 展 示



拍 卖 流 程


临沂市五佳拍卖有限公司教练车拍卖流程图


现场看车办理登记手续→交保证金(一万元/辆)→网上申请注册参拍→等待分配用户和密码→凭邮箱用户和密码登录参加拍卖会→签署成交文件→交付车款→车辆过户提车→凭新办理的行车证和登记证书办理保证金退款。


中国拍卖行业协会网络拍卖平台申请流程

一、登录http://pm.caa123.org.cn在右上角点击登录,以前注册过的用户直接在“竞拍用户”下登录,没有注册过的请点击“注册按流程一步步的进行注册(必须实名注册,并上传身份证照片,邮箱非常重要,请务必填写真实的邮箱),注册成功后,请回到http://pm.caa123.org.cn进行登录。

二、登录成功后,界面右上角会显示你的名字,在搜索一栏里输入“临沂市五佳拍卖有限公司”点击搜索,然后点击11月17日10时桑塔纳等车辆拍卖会公告,进入新界面后“点击进入拍卖大厅”再点击“11月17日10时桑塔纳等车辆拍卖会”下一步进入登录界面,点击“申请参拍”,弹出“竞拍人参拍须知”,仔细阅读点击下面的同意 ,会有再次确认,点击确认,出现申请成功,即表明申请成功。

三、拍卖公司在审核保证金到账情况后,会根据申请人的姓名进行账户激活,并将登陆的账号和密码一并发送到竞买人注册时所填的邮箱里,邮件名称叫“密码提醒”。

四、在http://pm.caa123.org.cn登陆成功后,点击右上角的“管理中心→竞拍用户管理→我的拍卖会→找到11月17日10时桑塔纳等车辆拍卖会,点击“进入拍卖会,进入登陆页面,依据邮箱里的邮件信息登陆即可。


现 场 看 车


看车地址:

山东省临沂市兰陵县经济开发区206国道北侧 荣庆二手车交易市场

交通:3路公交车

报名电话:0539-8050505

看车电话:18669516822、13370660022


点击次数:857  发布日期:2016-11-14  【打印此页】  【关闭

Processed in 0.028287 second(s) , 68 queries